其實這問題也我是在一開始研究醬油時的疑問。在醬油成分還是標示調味劑跟甜味劑的這段期間,問過很多醬油廠商,每個廠商都是回答這是天然的,為何知道天然的? 其大部分的答覆都是:『問供應廠商的….』
由於幾乎只有少數廠商添加的是甘草粉(淡黃色),這是直接用甘草磨成粉,自古以來就是作為藥用跟醬油甜味劑使用,中藥店也買的到,平常也有作為藥用(止咳嗽、袪痰),所以這就沒有疑問。只是就很佩服這些完全遵守古法製作的醬油廠商。甜味強者為良品,劣等品中有甜味少稍帶苦味。
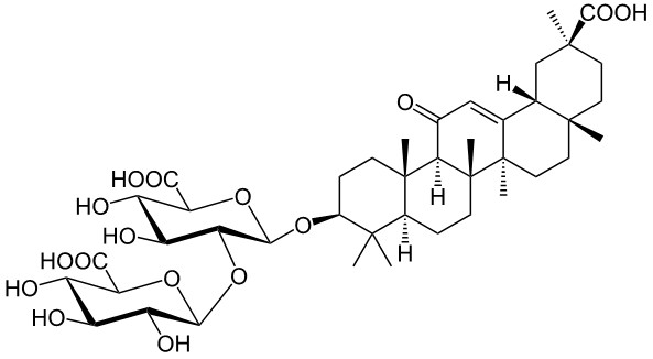
可是甘草萃(Glycyrrhizin, 又稱甘草甜、甘草素)、甘草酸二鈉、甘草酸三鈉又是什麼?
後來我是在中華飲食文化協會的圖書館找到『食品甜味的系譜與製造科學 邱標麟編譯』才完全解惑。(不過這本翻譯真的翻的不好)
甘草萃(Glycyrrhizin, 又稱甘草甜、甘草素)
化學式 C42H62O16, 其利用甘草這個藥用植物的根部萃取出來的。其甜度為砂糖的50~100倍,純品為250倍。最初不甜,後則次第變甜(翻譯:入喉變甜),其甜味就長久遺留作為殘留味。因為不會像砂糖會引起發酵、腐敗的等缺點,並且有所謂的『馴鹽作用』可以抑制所增加的食鹽的鹹度,並且不會損壞食品本來的味道,所以適合於醬油,豆醬,醃塩物,醬煮等之領域上,可溫和鹹味,改良調味效果。

甘草酸二鈉、甘草酸三鈉
甘草酸二鈉 Disodium Glycyrrhizinate
甘草酸三鈉 Trisodium Glycyrrhizinate
嚴格來說,算是人造甜味劑,但這也是世界承認的可用甜味劑,但因為含鈉,攝取過量還是有鈉離子過多的不適症狀。並且還有防腐(有鈉離子)、上色的效果。而且還可以搭配其他甜味劑(如一般砂糖),具有增校效果。
其中甘草酸二鈉 Disodium Glycyrrhizinate為比較常見,除了醬油、味噌、有些飲料、啤酒、香煙、口香糖也會添加此甜味劑。










想發表感想嗎?